Жълт пигмент 97
Pigment Yellow 97 is a bright, durable yellow pigment commonly used in coatings, inks, plastics, and paints. Known for its excellent lightfastness, weather resistance, and non-toxic properties, it offers vibrant color with high opacity. This pigment provides superior color strength and is often chosen for applications requiring consistent, high-quality yellow hues. It’s widely used in industrial sectors such as automotive, textiles, and packaging, offering a reliable and long-lasting color solution. Pigment Yellow 97 is valued for its versatility, environmental safety, and ability to maintain color integrity even under harsh conditions.
| Синоними | CIPigment Yellow 97; CIPY97; PY97; PY97 |
| CI номер | 11767 |
| CAS номер | 12225-18-2 |
| Номер на ЕС | 235-427-3 |
| Молекулярна формула | C26H27CINN4O8S |
| Химическо семейство | Моно азо |
| цвят | ![]() |
| Разпределение на оттенъка |
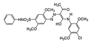
Молекулярна структура:

Жълт пигмент 97 Физични, химични свойства и свойства на устойчивост
| Молекулно тегло | 591.08 |
| PH стойност | 7.5 |
| плътност | 1.5 |
| Абсорбция на масло (ml / 100 g)% | 45 |
| Лека бързина | 7 |
| Топлоустойчивост | 200 (°C) |
| Водоустойчивост | 5 |
| Маслена устойчивост | 4 |
| Киселинна устойчивост | 5 |
| Алкална устойчивост | 5 |
Приложение
Пигмент Жълто 97 намира приложение в различни индустрии благодарение на живия си жълт цвят. Някои често срещани приложения включват:
Бои и покрития: Пигмент Жълто 97 се използва във формулата на бои и покрития за декоративни и защитни цели. Може да се включи в бои на водна основа или на основата на разтворители, за да осигури жълт оттенък.
Печатни мастила: Пигментът се използва при производството на жълти печатни мастила за приложения като опаковки, публикации и други печатни материали.
Пластмаси: Жълтият пигмент 97 често се използва за оцветяване на пластмаси, включително PVC (поливинилхлорид), полиолефини и други полимерни материали. Придава издръжлив и стабилен жълт цвят на пластмасовите изделия.
Текстил: В текстилната промишленост този пигмент може да се използва за боядисване на тъкани, осигурявайки жълт цвят на текстила и облеклата.
Мастила за мастиленоструйни принтери: Пигментно жълто 97 може да се използва във формулата на мастиленоструйни мастила за отпечатване на изображения и текст върху различни субстрати.
Художнически цветове: Художниците и производителите на артикули могат да използват Pigment Yellow 97 в производството на маслени бои, акрили, акварели и други художествени среди.
Други приложения: Пигментът може да се използва и в различни други приложения, където се желае стабилен и жив жълт цвят, като например оцветяване на козметика, каучукови продукти и специални покрития.
Свързана информация
Pigment Yellow 97 is a hydroxyl-containing polycarboxylic acid that is used in the production of paints and plastics. It has an oxidation potential of +0.6 volts, which indicates that it is reactive. Pigment Yellow 97 has an absorption maximum at 526 nm and a molecular weight of 317.09 g/mol. The chemical structure of Pigment Yellow 97 consists of a molecule with a reactive carboxyl group and a reactive hydroxyl group, as well as an intramolecular hydrogen bond between the two groups. This pigment also forms coordination complexes with metals such as iron oxides to form particle pigments or mixtures with glycol esters to form solid particles or dispersions, respectively.
Имена и идентификатори
Име по IUPAC: N-(4-хлоро-2,5-диметоксифенил)-2-[[2,5-диметокси-4-(фенилсулфамоил)фенил]диазенил]-3-оксобутанамид
InChI=1S/C26H27ClN4O8S/c1-15(32)25(26(33)28-18-12-20(36-2)17(27)11-21(18)37-3)30-29-19- 13-23(39-5)24(14-22(19)38-4)40(34,35)31-16-9-7-6-8-10-16/h6-14,25,31H, 1-5H3,(H,28,33)
InChIKey: WNWZKKBGFYKSGA-UHFFFAOYSA-N
Канонични УСМИВКИ: CC(=O)C(C(=O)NC1=CC(=C(C=C1OC)Cl)OC)N=NC2=CC(=C(C=C2OC)S(=O)(= O)NC3=CC=CC=C3)OC
Computed Properties
| Property Name | Property Value |
| Молекулно тегло | 591.0 g/mol |
| XLogP3-AA | 4.6 |
| Hydrogen Bond Donor Count | 2 |
| Hydrogen Bond Acceptor Count | 11 |
| Rotatable Bond Count | 12 |
| Exact Mass | 590.1238127 Da |
| Monoisotopic Mass | 590.1238127 Da |
| Topological Polar Surface Area | 162 Ų |
| Heavy Atom Count | 40 |
| Formal Charge | 0 |
| Complexity | 974 |
| Isotope Atom Count | 0 |
| Defined Atom Stereocenter Count | 0 |
| Undefined Atom Stereocenter Count | 1 |
| Defined Bond Stereocenter Count | 0 |
| Undefined Bond Stereocenter Count | 0 |
| Covalently-Bonded Unit Count | 1 |
| Compound Is Canonicalized | Yes |











